Bransjenyheter

Cyclodextrin-baserte løsninger for oppløselighet og stabilitetsforbedring

2025-12-23 - Legg igjen en melding

Cyclodextrin-baserte løsninger for oppløselighet og stabilitetsforbedring

Teknisk oversikt over Hydroxypropyl Betadex og Betadex Sulfobutyl Ether Sodium

Syklodekstriner er anerkjent for deres evne til å forbedre løseligheten og stabiliteten til dårlig løselige eller kjemisk sensitive forbindelser. På grunn av deres unike sykliske molekylstruktur, har cyklodekstriner og deres derivater blitt viktige funksjonelle hjelpestoffer på tvers av farmasøytiske, kjemiske og relaterte formuleringsfelt. Som svar på økende tekniske og regulatoriske krav, har Xi'an Deli Biochemical ytterligere foredlet den tekniske dokumentasjonen og produktstøtten for sine viktigste cyklodekstrinderivater:hydroksypropylbetadex (HPBCD) og betadex sulfobutyleternatrium (SBECD).


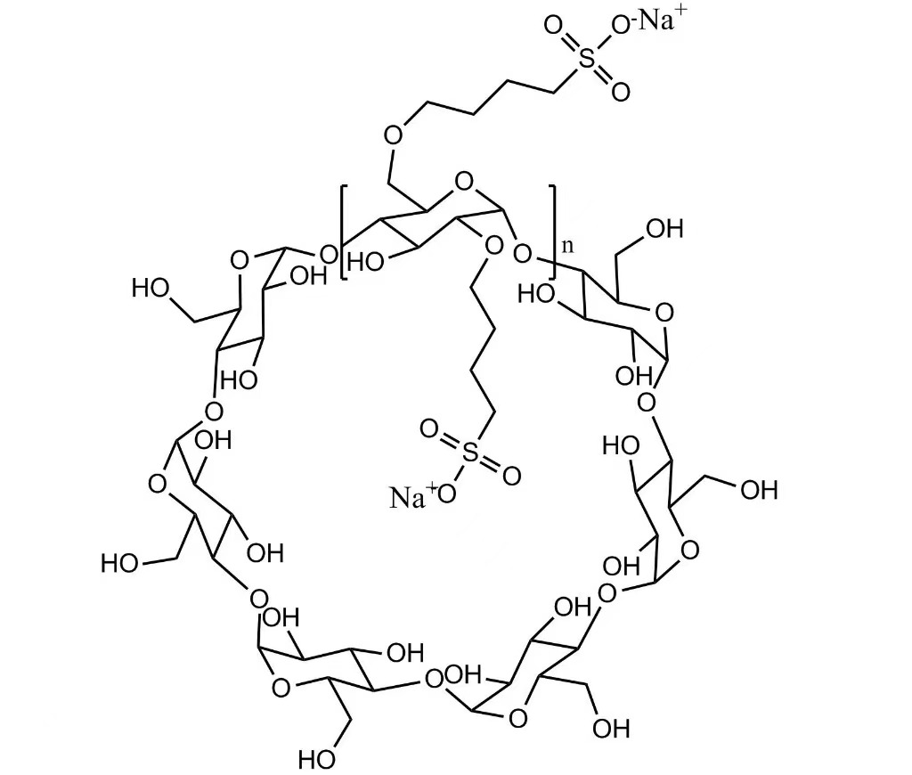
Strukturelle egenskaper og funksjonell ytelse av cyklodekstriner

Syklodekstriner er sykliske oligosakkarider sammensatt av glukoseenheter koblet med α-1,4 glykosidbindinger. Deres molekylære arkitektur har en hydrofil ytre overflate og et relativt hydrofobt indre hulrom, noe som muliggjør dannelse av inklusjonskomplekser med et bredt spekter av gjestemolekyler. Kjemisk modifisering av cyklodekstrinstrukturen kan forbedre vannløseligheten betydelig og utvide bruksallsidigheten.


Hydroxypropyl Betadex (HPBCD)


Hydroxypropyl betadex er et kjemisk modifisert β-cyklodekstrin designet for å overvinne den begrensede løseligheten til native cyklodekstriner. Dens forbedrede vannløselighet og gunstige kompatibilitet gjør HPBCD egnet for applikasjoner som krever effektiv solubilisering, stabilisering og formuleringsfleksibilitet på tvers av forskjellige systemer.


Betadex Sulfobutyl Ether Sodium (SBECD)


Betadex sulfobutyleternatrium er et anionisk cyklodekstrinderivat karakterisert av sulfobutyletersubstituenter. Denne strukturen forbedrer elektrostatiske interaksjoner med spesifikke forbindelser, og støtter forbedret løselighet, kompleks stabilitet og formuleringsrobusthet i mer krevende bruksområder.

Standardisert produktinformasjon og teknisk støtte

For å bedre støtte formuleringsutvikling, kvalitetsevaluering og innkjøpsprosesser, har Xi'an Deli Biochemical systematisk oppdatert produktinformasjon for HPBCD og SBECD, inkludert:


  • Tydelig definerte og standardiserte produktspesifikasjoner og analytiske parametere
  • Batchspesifikke analysesertifikater (COA) for å sikre sporbarhet og kvalitetsverifisering
  • Utvidede tekniske vanlige spørsmål om håndtering, lagring og typiske applikasjonshensyn
  • Optimaliserte produktsammendrag designet for å lette effektiv teknisk gjennomgang og valg


Disse forbedringene er ment å øke åpenheten, redusere evalueringstidslinjer og støtte konsistent produktytelse gjennom hele forsyningssyklusen.


Produksjonserfaring og kvalitetssikring

Xi'an Deli Biochemical ble etablert i 1999 og har 26 års erfaring i produksjon av cyklodekstrinderivater. Selskapet fokuserer på kontrollert produksjon av hydroksypropylbetadex og betadex sulfobutyleternatrium, med vekt på prosesskonsistens, batch-til-batch-pålitelighet og langsiktig forsyningsstabilitet. Strukturert kvalitetsstyringspraksis støtter kundenes tekniske, regulatoriske og innkjøpskrav.


Søknadsomfang og teknisk samarbeid

Basert på cyklodekstrin-inkludering og stabiliseringsmekanismer, er HPBCD og SBECD anvendelige på tvers av flere tekniske felt, inkludert farmasøytisk-relaterte formuleringer, spesialkjemikalier, veterinærprodukter og andre systemer som krever forbedret løselighet og stabilitet. Xi'an Deli Biochemical fortsetter å engasjere seg med partnere gjennom applikasjonsfokusert kommunikasjon og teknisk samarbeid for å støtte utviklende formuleringsbehov.


Om Xi'an Deli biokjemiske industriselskaper

Xi'an Deli Biochemical Industry Companies ble grunnlagt i 1999 og er en spesialisert produsent av cyklodekstrinderivater, som leverer hydroksypropylbetadex (HPBCD) og betadex sulfobutyleternatrium (SBECD) til globale kunder. Med et langvarig fokus på produktkonsistens, klare spesifikasjoner og praktisk teknisk støtte, er selskapet fortsatt forpliktet til å tilby pålitelige cyklodekstrinbaserte løsninger.


Hvis du vil, kan jeg også:


  • Optimaliser dette ytterligere for Google SEO (uten å redusere teknisk tone)
  • Kondenser den til en produkt-side "Teknisk oppdatering" versjon
  • Tilpass den for regulatoriske / kvalitetsfokuserte kunder


Bare fortell meg hvor du planlegger å publisere den.


Send forespørsel


icon
X
Vi bruker informasjonskapsler for å gi deg en bedre nettleseropplevelse, analysere nettstedstrafikk og tilpasse innhold. Ved å bruke denne siden godtar du vår bruk av informasjonskapsler. Personvernerklæring
Avvis Akseptere