X
IMG
VIDEO

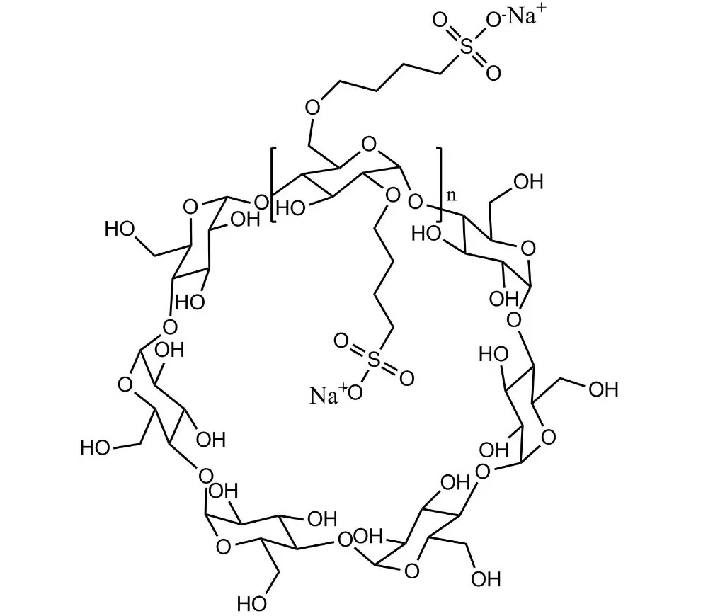
SBE-β-CD Sulfobutylether Beta Cyclodextrin Natrium injiserbart farmasøytisk hjelpestoff

Engros SBE-β-CD Sulfobutylether Beta Cyclodextrin Sodium Injectable Pharmaceutical Excipient laget i Kina fra DELI. SBE-β-CD (Sulfobutylether Beta Cyclodextrin Sodium) er et svært vannløselig injiserbart farmasøytisk hjelpestoff som brukes til å forbedre løseligheten, stabiliteten og sikkerheten til dårlig løselige APIer gjennom reversibel inklusjonskompleksdannelse.

Send forespørsel

produktbeskrivelse


SBE-β-CD Sulfobutylether Beta Cyclodextrin Natrium injiserbart farmasøytisk hjelpestoff

SBE-β-CD (Sulfobutylether Beta Cyclodextrin Sodium) er et svært vannløselig, anionisk β-cyklodekstrinderivat designet for injiserbare farmasøytiske applikasjoner. Det danner stabile, ikke-kovalente inklusjonskomplekser med aktive farmasøytiske ingredienser (API), som betydelig forbedrer løseligheten, stabiliteten og sikkerheten til dårlig vannløselige legemidler.

På grunn av sin utmerkede biokompatibilitet, lave hemolytiske aktivitet og kontrollerte toksisitetsprofil, er SBE-β-CD mye brukt i parenterale medikamentleveringssystemer på tvers av flere terapeutiske områder.


Viktige fordeler


SBE-β-CD forbedrer vannløseligheten til hydrofobe APIer samtidig som formuleringssikkerheten opprettholdes. Sammenlignet med tradisjonelle solubiliseringsmidler viser den redusert nyretoksisitet og lavere irritasjon på injeksjonssteder, noe som gjør den egnet for gjentatt parenteral administrering.


Farmasøytiske applikasjoner


SBE-β-CD brukes primært i injiserbare og sterile formuleringer, inkludert intravenøse, intramuskulære og subkutane doseringsformer. Det brukes ofte i antivirale, soppdrepende, onkologiske og kardiovaskulære legemidler, der høy løselighet og formuleringsstabilitet er kritisk.


Produktspesifikasjoner


Kjemisk navn Sulfobutylether Beta Cyclodextrin Sodium
CAS-nr. 182410-00-0
Utseende Hvitt til off-white amorft pulver
Karakter Injiserbart farmasøytisk hjelpestoff
Løselighet Fritt løselig i vann
Assay 95,0 % – 105,0 % (vannfri basis)
Gjennomsnittlig substitusjonsgrad (DS) 6,2 – 6,9
Bakterielle endotoksiner ≤ 10 EU/g
Standarder USP / EP
Holdbarhet 36 måneder


Emballasjespesifikasjoner


Tilgjengelige emballasjealternativer inkluderer 500 g/pose, 1 kg/pose, 10 kg/pose og 10 kg/trommel. Tilpasset emballasje er tilgjengelig på forespørsel for kommersiell levering.


Kvalitetssikring


Alle partier av SBE-β-CD er produsert under et strengt kvalitetsstyringssystem og gjennomgår omfattende analytisk testing. Nøkkelkvalitetsparametere som urenheter, endotoksiner, substitusjonsgrad og batch-til-batch-konsistens er nøye kontrollert.

Hver forsendelse er ledsaget av et analysesertifikat (COA) for å sikre full sporbarhet og overholdelse av regelverk.


Selskapets kvalifikasjoner og sertifiseringer


Xi'an Deli Biochemical Industry Co., Ltd. er en høyteknologisk bedrift som spesialiserer seg på forskning, utvikling og produksjon av cyklodekstriner og deres derivater. Selskapet ble grunnlagt i 1999 og har over 26 års bransjeerfaring.

Selskapet driver dedikerte produksjonslinjer for farmasøytiske hjelpestoffer med kontrollerte rene produksjonsområder. Kvalitetsstyringssystemet har bestått ISO 9001-sertifisering, og kjerneprodukter er registrert eller arkivert hos relevante regulatoriske myndigheter, inkludert FDA.


Produksjonsevne


Xi'an Deli Biochemical har etablert storskala kommersiell produksjonskapasitet for SBE-β-CD, som sikrer pålitelig langsiktig forsyning for globale farmasøytiske kunder.

Årlig produksjonskapasitet overstiger 200 tonn, med en typisk batchstørrelse på omtrent 2,5 tonn.


FAQ

Q1: Hva er hovedfunksjonen til SBE-β-CD i injiserbare formuleringer?
A: SBE-β-CD fungerer først og fremst som en solubilisator og stabilisator, og forbedrer vannløseligheten og sikkerheten til dårlig vannløselige APIer gjennom reversibel inklusjonskompleksdannelse.


Q2: Er SBE-β-CD egnet for gjentatt intravenøs administrering?
A: Ja. SBE-β-CD viser lav hemolytisk aktivitet og redusert nyretoksisitet sammenlignet med tradisjonelle solubiliseringsmidler, noe som gjør den egnet for gjentatt parenteral bruk.


Q3: Overholder produktet ditt farmakopestandarder?
A: Vår SBE-β-CD overholder USP- og EP-krav og er produsert under et sertifisert kvalitetsstyringssystem.


Q4: Kan teknisk dokumentasjon leveres?
A: Ja. COA, spesifikasjoner og tekniske data er tilgjengelig på forespørsel.



Hot Tags: SBE-β-CD Sulfobutylether Beta Cyclodextrin Sodium Injectable Pharmaceutical Excipient, Produsenter, Leverandører, Kina, Fabrikk, bulk, Gratis prøve, Laget i Kina, På lager, Engros, Kjøp

Relatert kategori

Send forespørsel

Gi gjerne din forespørsel i skjemaet nedenfor. Vi svarer deg innen 24 timer.
icon
X
Vi bruker informasjonskapsler for å gi deg en bedre nettleseropplevelse, analysere nettstedstrafikk og tilpasse innhold. Ved å bruke denne siden godtar du vår bruk av informasjonskapsler. Personvernerklæring
Avvis Akseptere