Sulfobutylether Beta Cyclodextrin Sodium Pulver
IMG
VIDEO

Sulfobutylether Beta Cyclodextrin Sodium Pulver

Sulfobutylether Beta Cyclodextrin Sodium Pulver
CAS-nummer: 182410-00-0
Utseende: Hvitt til off-white amorft pulver
Karakter: Injeksjonsgrad / Farmasøytisk hjelpestoff
Analyse: ≥ 99,0 % (på vannfri basis)
Løselighet: Lett løselig i vann
Bakterielle endotoksiner: ≤ 10 EU/g
Executive Standard: USP / EP / ChP

Send forespørsel

produktbeskrivelse


Hva er Sulfobutylether Beta Cyclodextrin Sodium Powder?


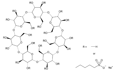
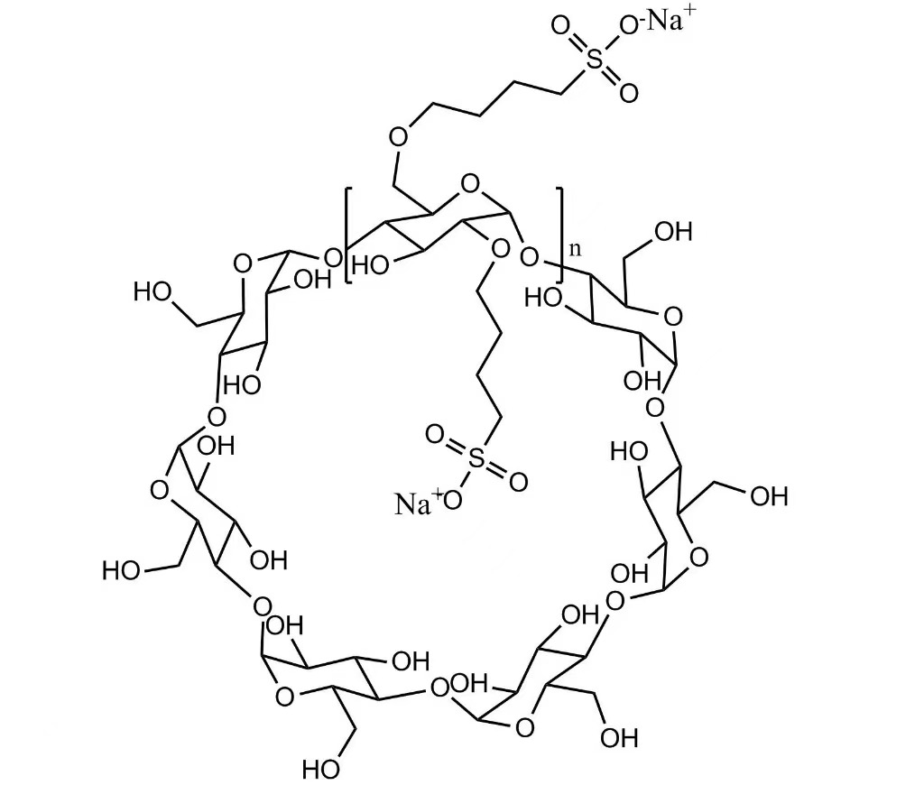
Sulfobutylether Beta Cyclodextrin Sodium Powder er et svært vannløselig, anionisk β-cyklodekstrinderivat som brukes som et farmasøytisk hjelpestoff. Det produseres ved å kjemisk modifisere beta-cyklodekstrin med sulfobutyletergrupper under kontrollerte alkaliske forhold, noe som resulterer i et natriumsalt med utmerkede solubiliserende egenskaper.

Dette hjelpestoffet av injiserbar kvalitet er designet for å danne stabile, ikke-kovalente inklusjonskomplekser med dårlig løselige aktive farmasøytiske ingredienser (API). Ved å innkapsle medikamentmolekyler, forbedrer Sulfobutylether Beta Cyclodextrin Sodium Powder stoffets løselighet, stabilitet og biotilgjengelighet betydelig, samtidig som lokal irritasjon, hemolyse og nyretoksisitet reduseres.

På grunn av sin høye sikkerhetsprofil og sterke kompleksdannelsesevne, er Sulfobutylether Beta Cyclodextrin Sodium Powder mye brukt i parenterale farmasøytiske formuleringer, spesielt for soppdrepende, antivirale, onkologiske og kardiovaskulære injiserbare legemidler. Den samsvarer med store farmakopestandarder som USP og EP og er egnet for kliniske og kommersielle farmasøytiske applikasjoner.


Sulfobutylether Beta Cyclodextrin Sodium Powder Spesifikasjon


Produkt nameg
Sulfobutylether Beta Cyclodextrin Sodium
CAS-nr.
182410-00-0
Utseende Hvitt eller nesten hvitt, hygroskopisk pulver.
Executive Standard USP / EP / ChP
Emballasje 500 g/pose; 1 kg/pose; 10 kg/pose; 10 kg/trommel
Synonymer SBE-β-CD; Sulfobutyl Ether Beta-Cyclodextrin; Betadex Sulfobutyl Ether Sodium
ANALYSE ≥99 %
Bakterielle endotoksiner
≤10EU/g
MOQ 1 kg


Sulfobutylether Beta Cyclodextrin Sodium Powder COA


Hva er bruken og fordelene med Sulfobutyl Ether Beta Cyclodextrin (SBECD)?

1. Bruk av Sulfobutyl Ether Beta Cyclodextrin (SBECD)

Sulfobutyl Ether Beta Cyclodextrin (SBECD) brukes hovedsakelig som et farmasøytisk hjelpestoff, spesielt i:


  • Injiserbare (parenterale) legemiddelformuleringer
  • Oftalmiske (øye) preparater
  • Nasale og pulmonale medikamentleveringssystemer
  • Formuleringer av dårlig vannløselige APIer, som soppdrepende, antivirale, kreft- og kardiovaskulære medisiner


2. Fordeler med Sulfobutyl Ether Beta Cyclodextrin (SBECD)


  • Forbedrer vannløseligheten av dårlig løselige legemidler betydelig
  • Forbedrer legemiddelstabiliteten ved å danne ikke-kovalente inklusjonskomplekser
  • Forbedrer legemiddelsikkerheten, spesielt for injiserbare formuleringer
  • Reduserer nyretoksisitet sammenlignet med noen tradisjonelle solubiliseringsmidler
  • Minimerer hemolyse og irritasjon på injeksjonsstedet
  • Kontrollerer medikamentfrigjøringshastigheten, forbedrer terapeutisk ytelse
  • Maskerer ubehagelig lukt eller smak av APIer
  • Høy vannløselighet og lav toksisitet, egnet for parenteral bruk

Hvorfor velge oss?


Over 20 års produksjonserfaring

Med mer enn to tiår med dedikert erfaring innen produksjon av cyklodekstrin og cyklodekstrinderivater, har Xi'an Deli Biochemical Industry Co., Ltd. bygget et solid rykte for produktkvalitet, prosessstabilitet og pålitelig forsyning.


Storskala og stabil produksjonskapasitet

Vi driver produksjonslinjer i industriell skala med en årlig kapasitet på 500 tonn Hydroxypropyl Betadex og 200 tonn Betadex Sulfobutyl Ether Sodium, noe som sikrer stabil forsyning for langsiktige kommersielle og kliniske applikasjoner.


Farmasøytisk kvalitetssikring

Våre produkter er produsert under et strengt kvalitetsstyringssystem, med et dedikert klasse D rent område designet i henhold til farmasøytiske produksjonskrav. Omfattende testing i prosess og sluttprodukt sikrer utmerket batch-til-batch-konsistens.


Avanserte analyse- og testfunksjoner

Utstyrt med moderne analytiske instrumenter som HPLC, GC, IC, kapillærelektroforese, FTIR og NMR-støttet testing, er laboratoriet vårt i stand til å møte farmakopekravene til USP, EP og ChP, og støtter formuleringsutvikling og regeloverholdelse.


Regulatorisk støtte og global markedserfaring

Våre nøkkelprodukter, inkludert Hydroxypropyl Betadex og Betadex Sulfobutyl Ether Sodium, er registrert og arkivert til FDA, noe som viser vår erfaring med å støtte kunder for globale farmasøytiske markeder.


Kundeorientert teknisk støtte

Vi tilbyr profesjonell teknisk støtte, dokumentasjonshjelp og formuleringsrelatert veiledning, og jobber tett med kunder fra tidlig utvikling til langsiktig kommersiell forsyning.


Kvalifisering av selskapet

Xi'an Deli Biochemical Industry Co., Ltd.-sertifikater.

Gjennom årene har Xi'an Deli Biochemical Industry Co., Ltd. vært kontinuerlig forpliktet til optimalisering av produksjonsprosesser og etablering av et omfattende kvalitetsstyringssystem for cyklodekstriner og deres derivater.


FAQ

1. Er du en produsent eller et handelsselskap?

Vi er en profesjonell produsent som spesialiserer seg på cyklodekstrin og cyklodekstrinderivater. Alle produktene produseres ved vårt eget produksjonsanlegg i Xi’an, Kina.


2. Hva er hovedproduktene dine?

Våre hovedprodukter er Hydroxypropyl Betadex (HPBCD) og Betadex Sulfobutyl Ether Sodium (SBECD), som er mye brukt som farmasøytiske hjelpestoffer, spesielt i injiserbare og orale formuleringer.


3. Oppfyller produktene dine farmakopestandarder?

Ja. Produktene våre overholder kravene til USP, EP og kinesisk farmakopé. Fullstendige analysesertifikater (COA) følger med hver batch.


4. Leverer du materialer av injiserbar kvalitet?

Ja. Vi spesialiserer oss på cyklodekstrinderivater av injiserbar kvalitet med streng kontroll av urenheter, endotoksiner og batch-til-batch-konsistens.


5. Hva er produksjonskapasiteten din?

Hydroxypropyl Betadex: 500 tonn per år

Betadex Sulfobutyl Ether Sodium: 200 tonn per år


6. Gir du prøver for evaluering?

Ja. Gratis prøver er tilgjengelig på forespørsel for formuleringsutvikling og testing.


7. Kan du støtte langsiktig kommersiell forsyning?

Ja. Med storskala produksjonslinjer og stabile kvalitetssystemer støtter vi langsiktig og kommersiell forsyning til globale farmasøytiske kunder.


8. Hvilke kvalitetssystemer følger du?

Vi opererer under ISO 9001:2015, støttet av avansert analyseutstyr og et dedikert kvalitetskontrolllaboratorium for å sikre produktkonsistens og samsvar.



Hot Tags: Sulfobutylether Beta Cyclodextrin Sodium Powder, Produsenter, Leverandører, Kina, Fabrikk, bulk, Gratis prøve, Laget i Kina, På lager, Engros, Kjøp

Relatert kategori

Send forespørsel

Gi gjerne din forespørsel i skjemaet nedenfor. Vi svarer deg innen 24 timer.
icon
X
Vi bruker informasjonskapsler for å gi deg en bedre nettleseropplevelse, analysere nettstedstrafikk og tilpasse innhold. Ved å bruke denne siden godtar du vår bruk av informasjonskapsler. Personvernerklæring
Avvis Akseptere